1
/
of
1
IA- Arkansas Investment Adviser Dual Registration and Joint Supervision Requirements
IA- Arkansas Investment Adviser Dual Registration and Joint Supervision Requirements
Regular price
$0.00 USD
Regular price
Sale price
$0.00 USD
Unit price
/
per
Couldn't load pickup availability
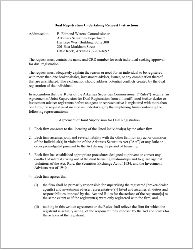
The AR Investment Adviser Dual Registration and Joint Supervision Requirements highlight the steps necessary for an individual to register with more than one Investment Adviser that are unaffiliated as well as the joint supervision requirements for dual registration. Members also downloaded Arkansas Investment Adviser Registration Requirements or Arkansas Investment Adviser Surety Bond Form U-SB and Continuation Certificate.
Version/Update: V.U/04/2020
Total Page Count/Format: 2/.pdf
Source/Author(s): Arkansas Securities Department Library
Published by: Connexien
View full details